1、设有一组初始记录关键字为(35,60,48,24,66,78),进行直接插入排序和冒泡排序。
(例题)


2、对于下面的一串字符,根据各字符出现的频度求各个字母的哈夫曼编码。
先统计各字母出现的频度(上图)
哈夫曼树构造
WPL=1*3+4*3+5*2+8*2+7*2=55(中图)
各个字母的哈夫曼编码(下图)



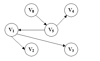
3、请写出下图的邻接矩阵和邻接表。

4、上图中
领接矩阵V0 v5 v1 v2 v3 v4(上)
领接表(下)


5、求树(a)的先根序列和后根序列(先根序列:ABCDEF 后根序列:BDEFCA)
求森林先序序列和中序序列(先序序列:ABCDEFGHIJK 中序序列:BDEFCAIJKHG)
将此森林转换为相应的二叉树;(下图)


6、设有无向图G,要求给出用普里姆算法构造最小生成树。
(E={(1,3),(1,2),(3,5),(5,6),(6,4)})

